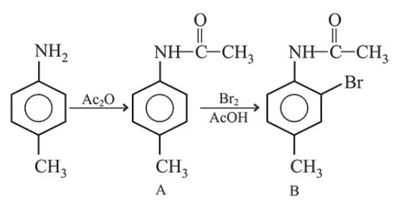
In the following reaction sequence,

Question:

In the following reaction sequence,

the major product B is:


Correct Option: 1

Solution:

Leave a comment