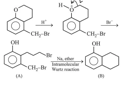
In the following reaction sequence, structures of A and B, respectively will be:

Question:

In the following reaction sequence, structures of $\mathrm{A}$ and $\mathrm{B}$, respectively will be:


Correct Option: , 3

Solution:

Leave a comment