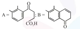
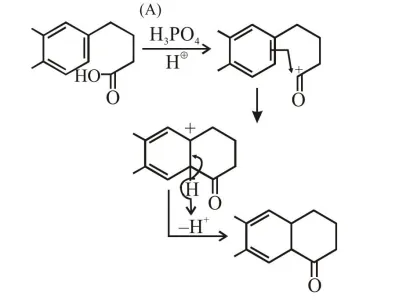
In the following reaction sequence the major products A and B are :

Question:

In the following reaction sequence the major products $A$ and $B$ are :

 


Correct Option: 1

Solution:

 

Leave a comment