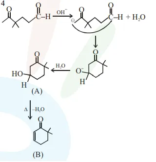
In the following reactions, products A and B are :

Question:

In the following reactions, products A and B are :


Correct Option: , 4

Solution:

Leave a comment