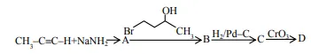
In the following sequence of reactions, the final product D is :

Question:

In the following sequence of reactions, the final product D is : 


Correct Option: 4,

Solution:

Leave a comment