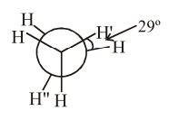
In the following skew conformation of ethane,

Question:

In the following skew conformation of ethane, $\mathrm{H}^{\prime}-\mathrm{C}-\mathrm{C}-\mathrm{H}^{\prime \prime}$ dihedral angle is :

  1. $120^{\circ}$

  2. $58^{\circ}$

  3. $149^{\circ}$

  4. $151^{\circ}$


Correct Option: , 3

Solution:

Leave a comment