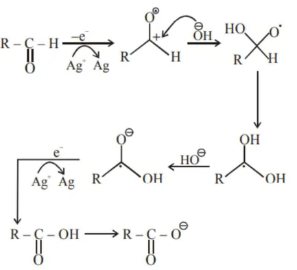
Question:
In Tollen's test for aldehyde, the overall number of electron(s) transferred to the Tollen's reagent formula $\left[\mathrm{Ag}\left(\mathrm{NH}_{3}\right)_{2}\right]^{+}$per aldehyde group to form silver mirror is . _____________(Round off to the Nearest integer)
Solution:
(2)


Total $2 \mathrm{e}^{-}$transfer to Tollen's reagent