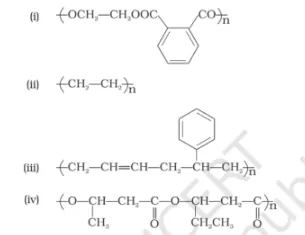
In which of the following polymers

Question:

In which of the following polymers ethylene glycol is one of the monomer

units?

Solution:

Option (i) is the answer.

Leave a comment