Question:
It is given that $-1$ is one of the zeros of the polynomial $x^{3}+2 x^{2}-11 x-12$. Find all the given zeros of the given polynomial.
Solution:
Let $f(x)=x^{3}+2 x^{2}-11 x-12$
Since $-1$ is a zero of $f(x),(x+1)$ is a factor of $f(x)$.
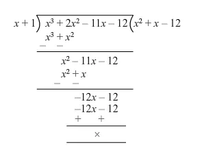
On dividing $f(x)$ by $(x+1)$, we get:

$f(x)=x^{3}+2 x^{2}-11 x-12$
$=(x+1)\left(x^{2}+x-12\right)$
$=(x+1)\left\{x^{2}+4 x-3 x-12\right\}$
$=(x+1)\{x(x+4)-3(x+4)\}$
$=(x+1)(x-3)(x+4)$
$\therefore f(x)=0=>(x+1)(x-3)(x+4)=0$
$=>(x+1)=0$ or $(x-3)=0$ or $(x+4)=0$
$=>x=-1$ or $x=3$ or $x=-4$
Thus, all the zeroes are $-1,3$ and $-4$.