Question: Let A and B denote the statements
A : $\cos \alpha+\cos \beta+\cos \gamma=0$
$\mathbf{B}: \sin \alpha+\sin \beta+\sin \gamma=0$
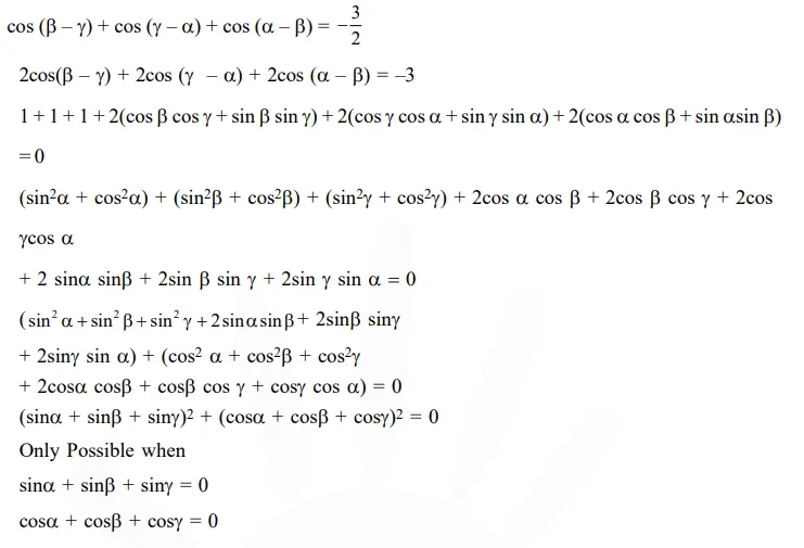
If $\cos (\beta-\gamma)+\cos (\gamma-\alpha)+\cos (\alpha-\beta)=-\frac{3}{2}$, then :-
Both A and B are true
Both A and B are false
A is true and B is false
A is false and B is true
Correct Option: 1
Solution:
