Let f and g be differentiable functions on
Question:
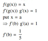
Let $f$ and $\mathrm{g}$ be differentiable functions on $\mathbf{R}$ such that fog is the identity function. If for some $a, b \in \mathbf{R}, g^{\prime}(a)=5$ and $g(a)=b$, then $f^{\prime}(b)$ is equal to :
Correct Option: , 3
Solution:
