Question:
Let $f(x)=\left\{\begin{array}{ll}1+x, & 0 \leq x \leq 2 \\ 3-x, & 2
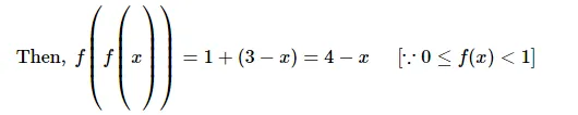
Solution:
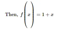
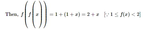
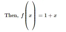
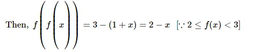
$f(x)= \begin{cases}1+x, & 0 \leq x \leq 2 \\ 3-x, & 2 It can be written as, $f(x)=\left\{\begin{array}{c}1+x, 0 \leq x \leq 1 \\ 1+x, 1 When, $0 \leq x \leq 1$ Now when, $0 \leq x \leq 1$ then, $1 \leq x+1 \leq 2$ When, $1 Now when, $1 When, $2 Now when , $2 $f(f(x))=\left\{\begin{array}{l}2+x, 0 \leq x \leq 1 \\ 2-x, 1




