Let m1 = 1 kg, m2 = 2 kg and m, = 3 kg in figure.
Question:
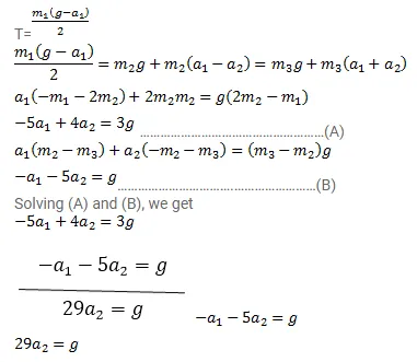
Let m1 = 1 kg, m2 = 2 kg and m, = 3 kg in figure. Find the accelerations of m1, m2 and m3. The string from the upper pulley to m1 is 20 cm when the system is released from rest. How long will it take before m1 strikes the pulley?

Solution:



$=0.25 \mathrm{sec}$