Question:
Let the function, $f:[-7,0] \rightarrow \mathrm{R}$ be continuous on $[-7,0]$ and differentiable on $(-7,0)$. If $f(-7)=-3$ and $f^{\prime}(\mathrm{x}) \leq 2$, for all $\mathrm{x} \in(-7,0)$, then for all such functions $f, f(-1)+f(0)$ lies in the interval:
Correct Option: , 2
Solution:
Using LMVT in $[-7,-1]$
$\frac{f(-1)-f(-7)}{-1-(-7)} \leq 2$
$f(-1)-f(-7) \leq 12$
$\Rightarrow \mathrm{f}(-1) \leq 9 \ldots .(1)$
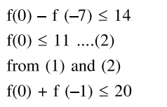
Using LMVT in $[-7,0]$
$\frac{f(0)-f(-7)}{0-(-7)} \leq 2$
