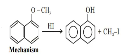
Main Products formed during a reaction of 1-methoxy naphthalene with hydroiodic acid are:

Question:

Main Products formed during a reaction of 1-methoxy naphthalene with hydroiodic acid are:


Correct Option: , 2

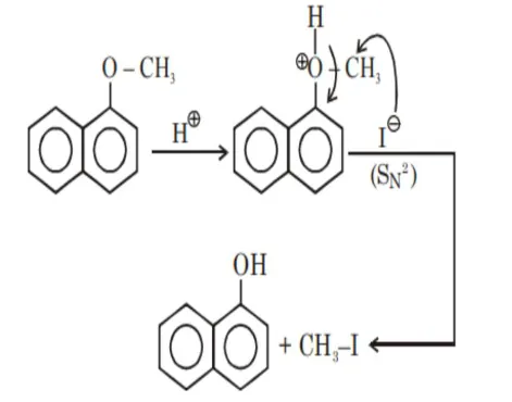
Solution:

Leave a comment