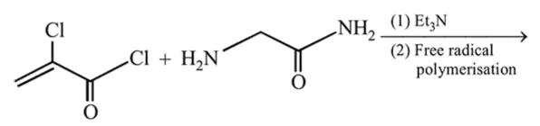
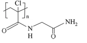
Major product of the following reaction is:

Question:

Major product of the following reaction is:


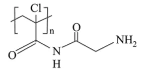
Correct Option: , 4

Solution:

Mechanism for the formation of major product is as follows:

Leave a comment