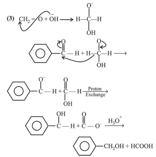
Major products of the following reaction are :

Question:

Major products of the following reaction are :

  1. $\mathrm{CH}_{3} \mathrm{OH}$ and $\mathrm{HCO}_{2} \mathrm{H}$


Correct Option: , 3

Solution:

Leave a comment