Mark against the correct answer in each of the following:
Question:
Mark $(\sqrt{)}$ against the correct answer in each of the following:
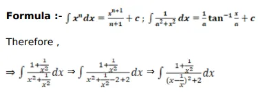
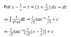
$\int \frac{\left(x^{2}+1\right)}{\left(x^{4}+1\right)} d x=?$
A. $\frac{1}{\sqrt{2}} \tan ^{-1}\left(\mathrm{x}-\frac{1}{\mathrm{x}}\right)+\mathrm{C}$
B. $\frac{1}{\sqrt{2}} \cot ^{-1}\left\{\left(x-\frac{1}{x}\right)\right\}+C$
C. $\frac{1}{\sqrt{2}} \tan ^{-1}\left\{\frac{1}{\sqrt{2}}\left(x-\frac{1}{x}\right)\right\}+C$
D. none of these
Solution:

