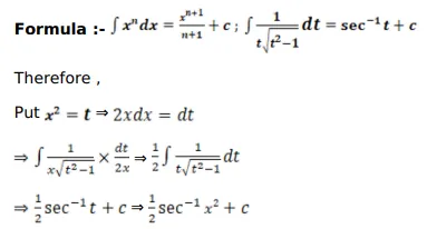
Question:
Mark $(\sqrt{)}$ against the correct answer in each of the following:
$\int \frac{1}{x \sqrt{x^{4}-1}} d x=?$
A. $\sec ^{-1} x^{2}+C$
B. $\frac{1}{2} \sec ^{-1} x^{2}+C$
C. $\operatorname{cosec}^{-1} x^{2}+C$
D. none of these
Solution:
