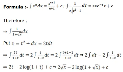
Question:
Mark $(\sqrt{)}$ against the correct answer in each of the following:
$\int \frac{\mathrm{dx}}{(1+\sqrt{\mathrm{x}})}=?$
A. $\sqrt{\mathrm{x}}-\log |1+\sqrt{\mathrm{x}}|+\mathrm{C}$
B. $\sqrt{\mathrm{x}}+\log |1+\sqrt{\mathrm{x}}|+\mathrm{C}$
C. $2 \sqrt{x}-2 \log |1+\sqrt{x}|+C$
D. none of these
Solution:
