Mark against the correct answer in each of the following:
Question:
Mark $(\sqrt{ })$ against the correct answer in each of the following:
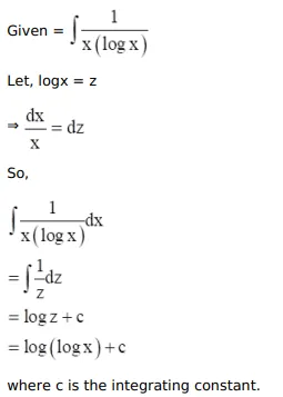
$\int \frac{1}{x(\log x)} d x=?$
A. $\log |\mathrm{X}|+\mathrm{C}$
B. $\frac{-2}{\mathrm{x}^{2}}+\mathrm{C}$
C. $(\log x)^{2}+C$
D. $\log |\log x|+C$
Solution:
