Question:
Mark $(\sqrt{)}$ against the correct answer in each of the following:
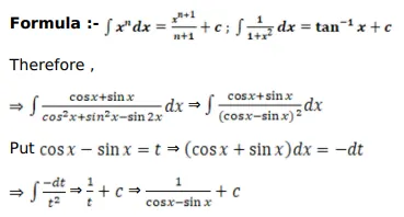
$\int \frac{(\cos +\sin x)}{(1-\sin 2 x)} d x=?$
A. $\log |\sin x-\cos x|+C$
B. $\frac{1}{(\cos x-\sin x)}+C$
C. $\log |\cos x+\sin x|+C$
D. none of these
Solution:
