Question:
Mark ( $\sqrt{)}$ against the correct answer in each of the following:
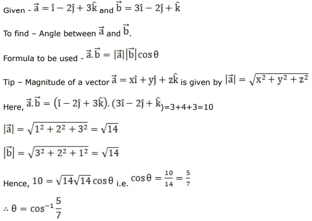
The angle between the vectors $\overrightarrow{\mathrm{a}}=\hat{\mathrm{i}}-2 \hat{\mathrm{j}}+3 \hat{\mathrm{k}}$ and $\overrightarrow{\mathrm{b}}=3 \hat{\mathrm{i}}-2 \hat{\mathrm{j}}+\hat{\mathrm{k}}$ is
A. $\cos ^{-1} \frac{5}{7}$
B. $\cos ^{-1} \frac{3}{5}$
C. $\cos ^{-1} \frac{3}{\sqrt{14}}$
D. none of these
Solution:
