Question:
Mark $(\sqrt{)}$ against the correct answer in each of the following:
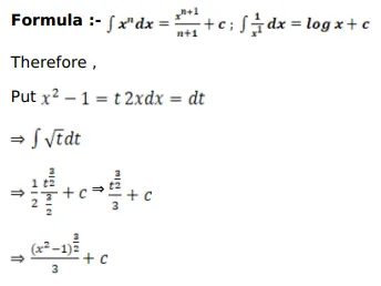
$\int x \sqrt{x^{2}-1} d x=?$
A. $\frac{2}{3}\left(x^{2}-1\right)^{3 / 2}+C$
B. $\frac{1}{3}\left(x^{2}-1\right)^{3 / 2}+C$
C. $\frac{1}{\sqrt{\mathrm{x}^{2}-1}}+\mathrm{C}$
D. none of these
Solution:
