Mark against the correct answer in each of the following:
Question:
Mark $(\sqrt{)}$ against the correct answer in each of the following:
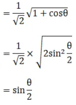
If $\boldsymbol{\theta}$ is the angle between two unit vectors $\hat{\mathrm{a}}$ and $\hat{\mathrm{b}}$ then $\frac{1}{2}|\hat{\mathrm{a}}-\hat{\mathrm{b}}|=$ ?
A. $\cos \frac{\theta}{2}$
B. $\sin \frac{\theta}{2}$
C. $\tan \frac{\theta}{2}$
D. none of these
Solution:

