Question:
Mark $(\sqrt{)}$ against the correct answer in each of the following:
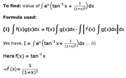
$\int e^{x}\left\{\tan ^{-1} x+\frac{1}{\left(1+x^{2}\right)}\right\} d x=?$
A. $e^{x} \cdot \frac{1}{\left(1+x^{2}\right)}+C$
B. $e^{x} \tan ^{-1} x+C$
C. $-e^{x} \cot ^{-1} x+C$
D. none of these
Solution:

