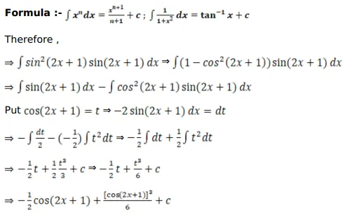
Question:
Mark $(\sqrt{)}$ against the correct answer in each of the following:
$\int \sin ^{3}(2 x+1) d x=?$
A. $\frac{1}{8} \sin ^{4}(2 x+1)+C$
B. $\frac{1}{2} \cos (2 x+1)+\frac{1}{3} \cos ^{3}(2 x+1)+C$
C. $-\frac{1}{2} \cos (2 x+1)+\frac{1}{6} \cos ^{3}(2 x+1)+C$
D. none of these
Solution:
