Mark against the correct answer in each of the following:
Question:
Mark $(\sqrt{)}$ against the correct answer in each of the following:
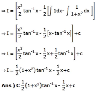
$\int x \tan ^{-1} x d x=?$
A. $\frac{1}{2} \tan ^{-1} x+\log \left(1+x^{2}\right)-\frac{1}{2} x+C$
B. $\frac{1}{2} x^{2} \tan ^{-1} x+\frac{1}{2} x+C$
C. $\frac{1}{2}\left(1+x^{2}\right) \tan ^{-1} x-\frac{1}{2} x+C$
D. none of these
Solution:

