Mark against the correct answer in each of the following:
Question:
Mark $(\sqrt{)}$ against the correct answer in each of the following:
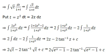
$\int \sqrt{e^{x}-1} d x$
A. $\frac{3}{2}\left(e^{x}-1\right)^{3 / 2}+C$
B. $\frac{1}{2}\left(e^{x}-1\right)^{1 / 2}+C$
C. $\frac{2}{3}\left(e^{x}-1\right)^{3 / 2}+C$
D. none of these
Solution:

