Question:
Mark $(\sqrt{)}$ against the correct answer in each of the following:
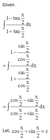
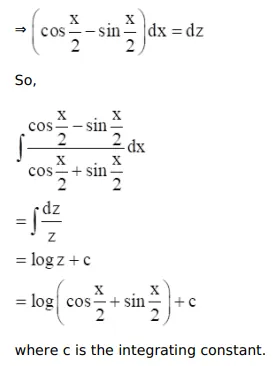
$\int\left\{\frac{1-\tan \left(\frac{x}{2}\right)}{1+\tan \left(\frac{x}{2}\right)}\right\} d x=?$
A. $2 \log \left|\sec \frac{x}{2}\right|+C$
B. $2 \log \left|\cos \frac{x}{2}\right|+C$
C. $2 \log \left|\sec \left(\frac{\pi}{4}-\frac{x}{2}\right)\right|+C$
D. $2 \log \left|\cos \left(\frac{\pi}{4}-\frac{x}{2}\right)\right|+C$
Solution:

