Mark against the correct answer in each of the following:
Question:
Mark $(\sqrt{)}$ against the correct answer in each of the following:
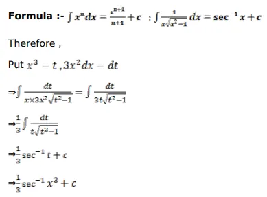
$\int \frac{d x}{x \sqrt{x^{6}-1}}=?$
A. $\frac{1}{3} \sec ^{-1} x^{3}+C$
B. $\frac{1}{3} \operatorname{cosec}^{-1} \mathrm{x}^{3}+\mathrm{C}$
C. $\frac{1}{3} \cot ^{-1} \mathrm{x}^{3}+\mathrm{C}$
D. none of these
Solution:
