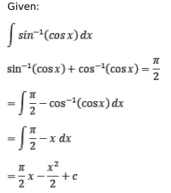
Question:
Mark $(\sqrt{)}$ against the correct answer in each of the following:
$\int \sin ^{-1}(\cos x) d x=?$
A. $\operatorname{cosec} x+C$
B. $\frac{\pi x}{2}+\frac{x^{2}}{2}+C$
C. $\frac{\pi x}{2}-\frac{x^{2}}{2}+C$
D. $\frac{x^{2}}{2}-\frac{\pi x}{2}+C$
Solution:
