Mark against the correct answer in each of the following:
Question:
Mark $(\sqrt{ })$ against the correct answer in each of the following:
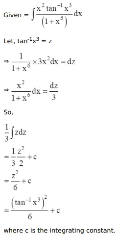
$\int \frac{x^{2} \tan ^{-1} x^{3}}{\left(1+x^{6}\right)} d x=?$
A. $\frac{1}{3}\left(\tan ^{-1} \mathrm{x}^{3}\right)+\mathrm{C}$
B. $\log \left|\tan ^{-1} x^{3}\right|+C$
C. $\frac{1}{6}\left(\tan ^{-1} \mathrm{x}^{3}\right)^{2}+\mathrm{C}$
D. none of these
Solution:
