Question:
Mark $(\sqrt{)}$ against the correct answer in each of the following:
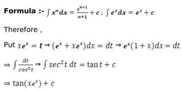
$\int \frac{(x+1) e^{x}}{\cos ^{2}\left(x e^{x}\right)} d x=?$
A. $\tan \left(x e^{x}\right)+C$
B. $-\tan \left(x e^{x}\right)+C$
C. $\cot \left(x e^{x}\right)+C$
D. none of these
Solution:
