Mark against the correct answer in each of the following:

Question:

Mark $(\sqrt{)}$ against the correct answer in each of the following:

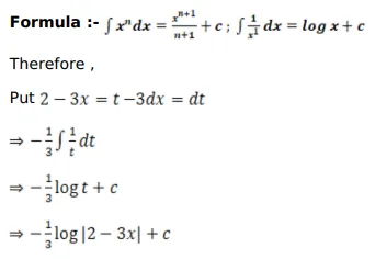
$\int \frac{\mathrm{dx}}{(2-3 \mathrm{x})}=?$

A. $-3 \log |2-3 x|+C$

B. $-\frac{1}{3} \log |2-3 x|+C$

C. $-\log |2-3 x|+C$

D. none of these

Solution:

Leave a comment