Mark against the correct answer in each of the following:
Question:
Mark $(\sqrt{)}$ against the correct answer in each of the following:
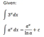
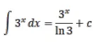
$\int 3^{x} d x=?$
A. $3^{\mathrm{x}}(\log 3)+\mathrm{C}$
B. $3^{x}+C$
C. $\frac{3^{x}}{\log 3}+C$
D. $\frac{\log 3}{3^{x}}+C$
Solution:

