Mark against the correct answer in each of the following:
Question:
Mark $(\sqrt{)}$ against the correct answer in each of the following:
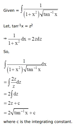
$\int \frac{1}{\left(1+x^{2}\right) \sqrt{\tan ^{-1} x}}$
A. $\frac{1}{2} \log \left|\tan ^{-1} x\right|+C$
B. $2 \sqrt{\tan ^{-1} \mathrm{x}}+\mathrm{C}$
C. $\frac{1}{2 \sqrt{\tan ^{-1} x}}+C$
D. none of these
Solution:
