Question:
Mark $(\sqrt{ })$ against the correct answer in each of the following:
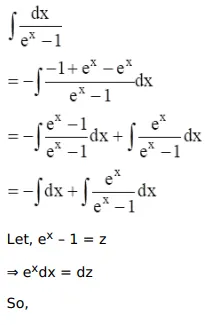
$\int \frac{d x}{\left(e^{x}-1\right)}=?$
A. $\log \left|e^{x}-1\right|+C$
B. $\log \left|1-e^{-x}\right|+C$
C. $\log \left|e^{x}-1\right|+C$
D. none of these
Solution:
Given $=$

