Question:
Mark $(\sqrt{)}$ against the correct answer in each of the following:
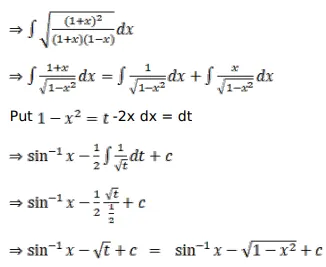
$\int \sqrt{\frac{1+x}{1-x}} d x=?$
A. $\sin ^{-1} x+\sqrt{1-x^{2}}+C$
B. $\sin ^{-1} x+\left(1+x^{2}\right)+C$
C. $\sin ^{-1} x-\sqrt{1-x^{2}}+C$
D. none of these
Solution:

