Question:
Mark $(\sqrt{)}$ against the correct answer in each of the following:
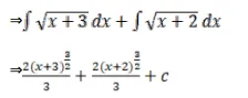
$\int \frac{1}{(\sqrt{x+3}-\sqrt{x+2})} d x=?$
A. $\frac{2}{3}(\mathrm{x}+3)^{3 / 2}-\frac{2}{3}(\mathrm{x}+3)^{3 / 2}+\mathrm{C}$
B. $\frac{2}{3}(x+3)^{3 / 2}+\frac{2}{3}(x+3)^{3 / 2}+C$
C. $\frac{3}{2}(x+3)^{3 / 2}-\frac{3}{2}(x+3)^{3 / 2}+C$
D. none of these
Solution:

