Question:
Mark $(\sqrt{)}$ against the correct answer in each of the following:
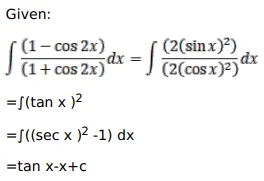
$\int \frac{(1-\cos 2 x)}{(1+\cos 2 x)} d x=?$
A. $\tan x+x+C$
B. $\tan \mathrm{x}-\mathrm{x}+\mathrm{C}$
C. $-\tan \mathrm{x}+\mathrm{x}+\mathrm{C}$
D. $-\tan x-x+C$
Solution:
