Mark against the correct answer in each of the following:

Question:

Mark $(\sqrt{)}$ against the correct answer in each of the following:

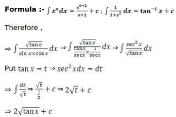
$\int \frac{\sqrt{\tan x}}{\sin x+\cos x} d x=?$

A. $2 \sqrt{\tan x}+C$

B. $2 \sqrt{\cot x}+C$

C. $2 \sqrt{\sec x}+C$

D. none of these

Solution:

Leave a comment