Mark against the correct answer in each of the following:
Question:
Mark $(\sqrt{)}$ against the correct answer in each of the following:
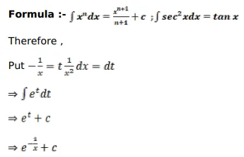
$\int \frac{1}{x^{2}} e^{-1 / x} d x=?$
A. $\mathrm{e}^{-1 / \mathrm{x}}+\mathrm{C}$
B. $-\mathrm{e}^{-1 / \mathrm{x}}+\mathrm{C}$
C. $\frac{e^{-1 / x}}{x}+C$
D. none of these
Solution:
