Question:
Mark $(\sqrt{)}$ against the correct answer in each of the following:
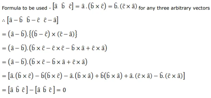
For any three vectors $\overrightarrow{\mathrm{a}}, \overrightarrow{\mathrm{b}}, \overrightarrow{\mathrm{c}}$ the value of $[\overrightarrow{\mathrm{a}}-\overrightarrow{\mathrm{b}} \overrightarrow{\mathrm{b}}-\overrightarrow{\mathrm{c}} \overrightarrow{\mathrm{c}}-\overrightarrow{\mathrm{a}}]$ is
A. $2[\vec{a} \vec{b} \vec{c}]$
B. 1
C. 0
D. none of these
Solution:
