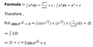
Question:
Mark $(\sqrt{)}$ against the correct answer in each of the following:
$\int \frac{e^{\sqrt{x}} \cos \left(e^{\sqrt{x}}\right)}{\sqrt{x}} d x=?$
A. $\sin \left(e^{\sqrt{x}}\right)+C$
B. $\frac{1}{2} \sin \left(e^{\sqrt{x}}\right)+C$
C. $2 \sin \left(e^{\sqrt{x}}\right)+C$
D. none of these
Solution:
