Question:
Mark $(\sqrt{)}$ against the correct answer in each of the following:
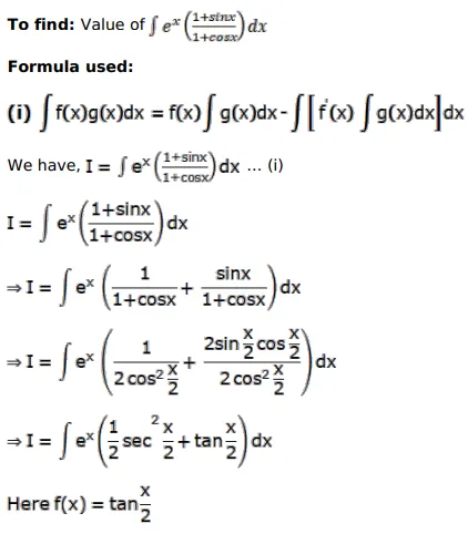
$\int e^{x}\left(\frac{1+\sin x}{1+\cos x}\right) d x=?$
A. $e^{x} \sin \frac{x}{2}+C$
B. $e^{x} \cos \frac{x}{2}+C$
C. $e^{x} \tan \frac{x}{2}+C$
D. None of these
Solution:

