Question:
Mark $(\sqrt{ })$ against the correct answer in each of the following:
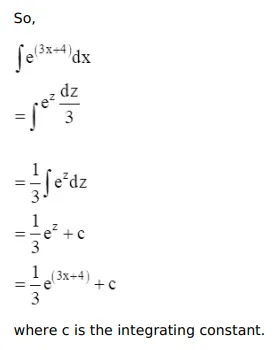
$\int e^{(3 x+4)} d x=?$
A. $\frac{3}{(\log 2)} \cdot 2^{(3 x+4)}+C$
B. $\frac{2^{(3 x+4)}}{3(\log 2)+C}$
C. $\frac{2^{(3 x+4)}}{2(\log 3)}+C$
D. none of these
Solution:

