Mark against the correct answer in each of the following:
Question:
Mark $(\sqrt{)}$ against the correct answer in each of the following:
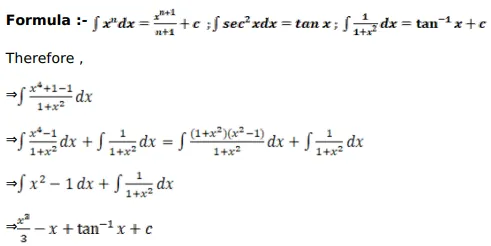
$\int \frac{x^{4}}{\left(1+x^{2}\right)} d x=?$
A. $\frac{x^{3}}{3}+x+\tan ^{-1} x+C$
B. $\frac{-\mathrm{x}^{3}}{3}+\mathrm{x}-\tan ^{-1} \mathrm{x}+\mathrm{C}$
C. $\frac{x^{3}}{3}-x+\tan ^{-1} x+C$
D. none of these
Solution:
