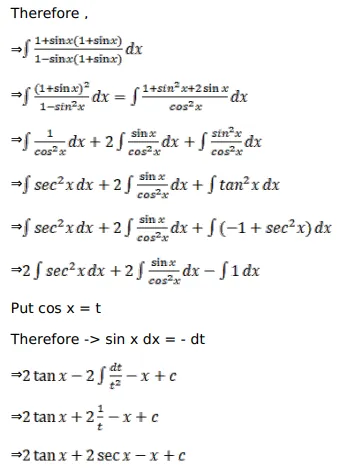
Question:
Mark $(\sqrt{)}$ against the correct answer in each of the following:
$\int \frac{(1+\sin x)}{(1-\sin x)} d x=?$
A. $2 \tan x+x-2 \sec x+C$
B. $2 \tan \mathrm{x}-\mathrm{x}+2 \sec \mathrm{x}+\mathrm{C}$
C. $2 \tan x-x-2 \sec x+C$
D. none of these
Solution:

