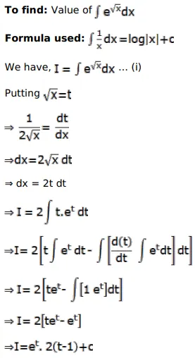
Question:
Mark $(\sqrt{)}$ against the correct answer in each of the following:
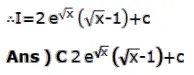
$\int \mathrm{e}^{\sqrt{x}} \mathrm{dx}=?$
A. $e^{\sqrt{x}}+\sqrt{x}+C$
B. $\frac{1}{2} e^{\sqrt{x}}(\sqrt{x}+1)+C$
C. $2 e^{\sqrt{x}}(\sqrt{x}-1)+C$
D. none of these
Solution:

